Propiedades psicométricas de un instrumento para evaluar los conocimientos sobre biodiversidad en estudiantes
DOI
https://doi.org/10.25267/Rev_Eureka_ensen_divulg_cienc.2026.v23.i1.1501Información
Resumen
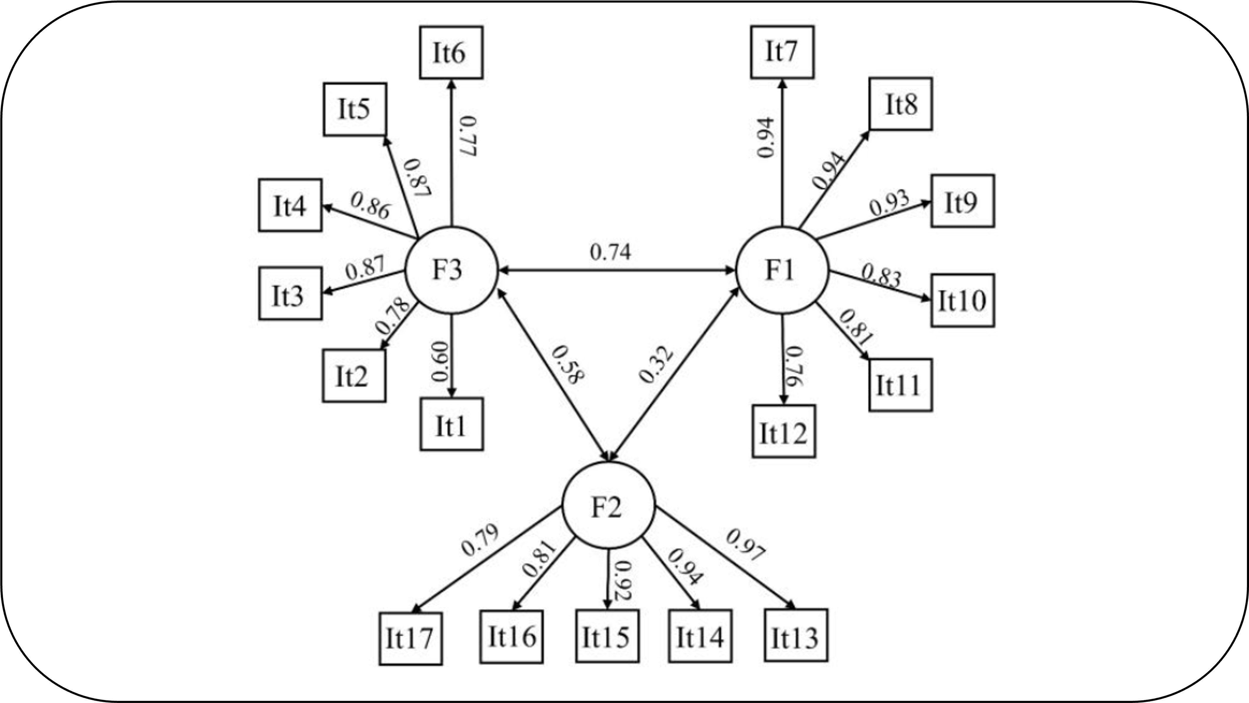
Actualmente se denota una grave crisis ambiental y pérdida de la biodiversidad, y una de las acciones para enfrentar estos desafíos es conocer los conocimientos que tiene la población sobre la biodiversidad. Por lo que se requiere de instrumentos con adecuadas propiedades psicométricas que permitan evaluar la comprensión de la biodiversidad, significado, causas y consecuencias de su pérdida. El objetivo del presente fue analizar la validez de constructo y confiabilidad de un instrumento para evaluar los conocimientos sobre la biodiversidad en estudiantes. El instrumento se aplicó a 340 estudiantes universitarios. Para el análisis de validez de constructo se empleó un proceso de validación cruzada que involucró el análisis factorial exploratorio (AFE) y análisis factorial confirmatorio (AFC), y la fiabilidad se determinó mediante el Omega de McDonald e índice de fiabilidad compuesta. Acorde al AFE, se encontró la correspondencia con el modelo teórico donde todos los ítems están representados en el modelo factorial y que este explicó más del 79% de la varianza. Por su parte, mediante el AFC, el modelo factorial resultante mostró un buen ajuste (Razón χ2/gl:1.17; GFI: 0.97; RMSAE: 0.053; RMR: 0.049; CFI: 0.997; TLI: 0.995). Se encontró evidencia de validez convergente (CFE>0.50; IFC>0.90; VME: 0.60) y divergente. La confiabilidad global y por factor mostró un valor óptimo (Omega de McDonald e IFC>0.80). El instrumento sobre conocimientos sobre la biodiversidad en estudiantes posee adecuadas propiedades psicométricas.
Palabras clave
Descargas
Cómo citar
Licencia
Derechos de autor 2025 Luis Gibran Juárez Hernández, María Delfina Luna Krauletz, Haydeé Parra Acosta, Jose López Loya

Esta obra está bajo una licencia internacional Creative Commons Atribución-NoComercial 4.0.
Aquellos autores/as que tengan publicaciones con esta revista, aceptan los términos siguientes:
- Los autores/as podrán conservar sus derechos de autor y garantizarán a la revista el derecho de primera publicación de su obra, el cual estará simultáneamente sujeto a la Licencia de reconocimiento de Creative Commons que permite a terceros compartir la obra siempre que se indique su autor y su primera publicación esta revista.
- Los autores/as podrán adoptar otros acuerdos de licencia no exclusiva de distribución de la versión de la obra publicada (p. ej.: depositarla en un archivo telemático institucional) siempre que se indique la publicación inicial en esta revista.
- Se permite y recomienda a los autores/as difundir su obra a través de Internet (p. ej.: en archivos telemáticos institucionales o en su página web) una vez el manuscrito sea aceptado, lo cual puede producir intercambios interesantes y aumentar las citas de la obra publicada. (Véase El efecto del acceso abierto). También se permite la difusión de la versión pre-print de los artículos a partir del momento en que son aceptados o publicados
Reconocimiento-NoComercial
CC BY-NC
Citas
Alcalá, J. (2007). Percepción comunitaria de la flora y fauna urbana en la ciudad de Chihuahua, México. Revista Latinoamericana de Recursos Naturales, 3(1), 58-64. https://revista.itson.edu.mx/index.php/rlrn/article/view/90
Ato, M., López, J. J. y Benavente, A. (2013). Un sistema de clasificación de los diseños de investigación en psicología. Anales de Psicologia, 29(3), 1038–1059. https://doi.org/10.6018/analesps.29.3.17851
Bollen, K. A. y Long, J. S. (1993). Testing structural equation models. Sage Publications. https://us.sagepub.com/en-us/nam/testing-structural-equation-models/book3893
Brown, T. A. (2015). Confirmatory factor analysis for applied research. The Guilford Press.
Carmines, E. G. y Woods, A. (2005). Validity Assessment. En K. Kempf-Leonard (Ed.), Encyclo-pedia of Social Measurement, (pp. 933-937). Elsevier. https://www.sciencedirect.com/referencework/9780123693983/encyclopedia-of-social-measurement#book-info
Carpenter, S. (2018). Ten steps in scale development and reporting: A guide for researchers. Communication Methods and Measures, 12(1), 25-44. https://doi.org/10.1080/19312458.2017.1396583
Carrillo-Avalos, B. A., Sánchez-Mendiola, M. y Leenen, I. (2020). Amenazas a la validez en evaluación: implicaciones en educación médica. Investigación en educación médica, 9(34), 100-107. https://doi.org/10.22201/facmed.20075057e.2020.34.221
Carvajal, A., Centeno, C., Watson, R., Martínez, M. y Sanz-Rubiales, A. (2011). ¿Cómo validar un instrumento de medida de la salud?. Anales del Sistema Sanitario de Navarra, 34(1), 63-72. https://recyt.fecyt.es/index.php/ASSN/article/view/10317
Cheung, G. W. y Wang, C. (2017). Current approaches for assessing convergent and discriminant validity with SEM: issues and solutions. Academy of Management Proceedings, 2017 (1), 12706. https://doi.org/10.5465/AMBPP.2017.12706abstract
Cho, E. y Kim, S. (2015). Cronbach’s coefficient alpha: well known but poorly understood. Organizational Research Methods, 18(2), 207-230. https://doi.org/10.1177/1094428114555994
CIFE (2018). Cuestionario de satisfacción con el instrumento. https://cife.edu.mx/recursos/4251/
Connell, J., Carlton, J., Grundy, A., Taylor Buck, E., Keetharuth, A. D., Ricketts, T., Barkham, M., Robotham, D., Rose, D. y Brazier, J. (2018). The importance of content and face valid-ity in instrument development: Lessons learnt from service users when developing the Re-covering Quality of Life measure (ReQoL). Quality of life research: an international jour-nal of quality-of-life aspects of treatment, care, and rehabilitation, 27(7), 1893-1902. https://doi.org/10.1007/s11136-018-1847-y
Corona-Leal, V. (2012). Las percepciones sobre la biodiversidad de los estudiantes de primer grado de secundaria: a partir de sus experiencias en el Universum; Museo de Ciencias de la UNAM. [Tesis de maestría]. Universidad Pedagógica Nacional de México, México.
Cowie, R. H., Bouchet, P. y Fontaine, B. (2022). The Sixth Mass Extinction: fact, fiction or spec-ulation? Biological Reviews, 97(2), 640-663. https://doi.org/10.1111/brv.12816
Ellis, E. C. (2024). The Anthropocene condition: evolving through social–ecological transfor-mations. Philosophical Transactions of the Royal Society B, 379(1893), 20220255. https://doi.org/10.1098/rstb.2022.0255
Fornell, C. y Larcker, D. (1981). Evaluating structural equation models with unobservable varia-bles and measurement error. Journal of Marketing Research, 18(1), 39-50. https://doi.org/10.2307/3151312
Furr, R. M. (2020). Psychometrics in clinical psychological research. En A. G. C. Wright y M. N. Hallquist (Eds.), The Cambridge handbook of research methods in clinical psychology, (pp. 54–65). Cambridge University Press. https://doi.org/10.1017/9781316995808.008
García, F. G. y Hernández, I. S. (2004). Conocimientos y concepciones sobre biodiversidad en alumnos de educación secundaria. Revista de Educación de la Universidad de Granada, (17), 177-188. https://dialnet.unirioja.es/servlet/articulo?codigo=2141060
Gliner, J. A., Morgan, G. A. y Harmon, R. J. (2001).Measurement reliability. Journal of the American Academy of Childy Adolescent Psychiatry, 40, 486-488. https://doi.org/10.1097/00004583-200104000-00019
Gutiérrez-Mijares, M. E. y Pellegrini-Blanco, N. (2023). Educación para el desarrollo sostenible y percepción de la comunidad universitaria: caso Universidad Simón Bolívar. Revista Educación Ambiental y Sostenibilidad: REAYS, 5(1), 1301. https://doi.org/10.25267/Rev_educ_ambient_sostenibilidad.2023.v5.i1.130
Hair, Jr., William, C. B., Barry, J. B. y Anderson, R.(2014). Multivariate data analysis. Pearson
Haynes, S. N., Richard, D. C. S. y Kubany,E. S. (1995). Content validity in psychological assess-ment: A functional approach to concepts and methods. Psychological Assessment, 7(3), 238-247. https://doi.org/10.1037/1040-3590.7.3.238
Heale, R. y Twycross, A. (2015). Validity and reliability in quantitative studies. Evidence-based nursing, 18(3), 66-67. https://doi.org/10.1136/eb-2015-102129
Isbell, F., Balvanera, P., Mori, A. S., He, J. S., Bullock, J. M., Regmi, G. R., ... y Palmer, M. S. (2023). Expert perspectives on global biodiversity loss and its drivers and impacts on peo-ple. Frontiers in Ecology and the Environment, 21(2), 94-103. https://doi.org/10.1002/fee.2536
Juárez-Hernández, L. G., Luna-Krauletz, M. D. y Martínez-Valdés, M. G. (2025). Diseño de un instrumento para evaluar los conocimientos sobre biodiversidad en estudiantes. Atenas, 63, e10768, 1-14. https://atenas.umcc.cu/index.php/atenas/article/view/1234
Juárez-Hernández, L. G., Tobón, S., Salas-Razo, G., Jerónimo-Cano, A. E., y Martínez-Valdés, M. G. (2019). Desarrollo sostenible: educación y sociedad. M+A. Revista Electrónica de Medioambiente, 20(1), 54-71. https://www.ucm.es/data/cont/media/www/pag-129712/Art.3_M+A_VOL.20_2019..pdf
Juárez-Hernández, L. G. y Tobón, S. (2018). Análisis de los elementos implícitos en la validación de contenido de un instrumento de investigación. Espacios, 46, 23-30. http://www.revistaespacios.com/cited2017/cited2017-23.html
Keck, F., Peller, T., Alther, R., Barouillet, C., Blackman, R., Capo, E., Chonova, T., Couton, M., Fehlinger, L., Kirschner, D., Knusel, M., Muneret, L., Oester, R., Tapolczai, K., Zhang, H. y Altermatt, F. (2025). The global human impact on biodiversity. Nature, 630(8011), 75–82. https://doi.org/10.1038/s41586-025-07841-3
Kline, P. (2015). A handbook of test construction (psychology revivals). Introduction to psychometric design. London: Routledge.
Lagunes-Córdoba, R. (2017). Recomendaciones sobre los procedimientos de construcción y vali-dación de instrumentos y escalas de medición en la psicología de la salud. Revista Psicolo-gía y Salud, 27(1), 5-18. http://psicologiaysalud.uv.mx/index.php/psicysalud/article/view/2431
Lim, W. M. (2024). A typology of validity: content, face, convergent, discriminant, nomological and predictive validity. Journal of Trade Science, 12(3), 155-179. https://doi.org/10.1108/JTS-03-2024-0016
Lloret-Segura, S., Ferreres-Traver, A., Hernández-Baeza, A. y Tomas-Marco, I. (2014). El análisis factorial exploratorio de los ítems: una guía práctica, revisada y actualizada. Anales de Psicología, 30(3), 1151-1169. http://dx.doi.org/10.6018/analesps.30.3.199361
Lüdecke, D., Ben-Shachar, M., Patil, I. y Makowski, D. (2020). Extracting, Computing and Ex-ploring the Parameters of Statistical Models using R. Journal of Open-Source Software, 5(53), 2445. https://doi.org/10.21105/JOSS.02445
Mardia, K. V. (1970). Measures of Multivariate Skewness and Kurtosis with Applications. Bio-metrika, 57(3), 519. https://doi.org/10.2307/2334770
McDonald, R. P. (1999). Test theory: A unified treatment. Lawrence Erlbaum Associates, Inc. https://doi.org/10.4324/9781410601087
Messick, S. (1980). Test validity and ethics of assessment. American Psychologist, 35(11), 1012-1027. https://doi.org/10.1037/0003-066X.35.11.1012
Muylaert, R., Hayman, D. T. S., Fernandez, M., Hildebrand, Av., Willetts, E., Machalaba, C., Mensah, P. K. y Prist, P. R. (2024). Human Health Thrives Thanks To Biodiversity. Front. Young Minds. 12:1290739. https://doi.org/0.3389/frym.2024.1290739
Oliveira, A. P., Paramés, A., Bajanca, A., y Martinez-Perez, C. (2025). Higher Education Stu-dents’ Biodiversity Knowledge. Education Sciences, 15(4), 499. https://doi.org/10.3390/educsci15040499
Penfield, R. D., y Giacobbi, P. R. (2004). Applying a score confidence interval to Aiken’s item content-relevance index Measurement in Physical Education and Exercise Science, 8(4), 213-225. https://doi.org/10.1207/s15327841mpee0804_3
Pereira, H. M., Martins, I. S., Rosa, I. M., Kim, H., Leadley, P., Popp, A., ... y Alkemade, R. (2024). Global trends and scenarios for terrestrial biodiversity and ecosystem services from 1900 to 2050. Science, 384(6694), 458-465. https://doi.org/10.1126/science.adn344
Pérez-García, J. N. (2020). Causas de la pérdida global de biodiversidad. Revista de la asociación colombiana de ciencias biológicas, 1(32), 183-198. https://doi.org/10.47499/revistaaccb.v1i32.219
Qu, X., Li, X., Bardgett, R., Kuzyakov, Y., Revilini, D., Sonne, C., Xia, C., Ruan, H., Liu, Y., Cao, F., Reich, P. y Delgado-Baquerizo, M. (2024). Deforestation impacts soil biodiversity and ecosystem services. Proceedings of the National Academy of Sciences, 121(34), e2318475121. https://doi.org/10.1073/pnas.2318475121
R Core Team (2020). R: A language and environment for statistical computing. R Foundation for Statistical Computing, Vienna, Austria. https://www.r-project.org/
Raiche G. (2020). An R package for parallel analysis and non graphical solutions to the Catell scree test. R package (Version 2.3.3.1.). https://cran.r-project.org/web/packages/nFactors/index.html
Raven, P. H. (2020). Biological extinction and climate change. En W. K. Al-Delaimy, V. Rama-nathan y M. Sánchez-Sorondo (Eds.), Health of People, Health of Planet and Our Respon-sibility: Climate Change, Air Pollution and Health, (pp. 11-20). Springer. https://doi.org/10.1007/978-3-030-31125-4_2
Revelle, W. (2017). Psych: Procedures for personality and psychological research. https://www.scholars.northwestern.edu/en/publications/psych-procedures-for-personality-and-psychological-research
Rosseel, Y. (2012). lavaan: An R Package for Structural Equation Modeling. Journal of Statistical Software, 48(1), 1–36. https://doi.org/10.18637/JSS.V048.I02
Sánchez-Pérez, Y. (2023). Orientación familiar para la educación en la conservación de la biodiversidad del patrimonio natural de ciudad escolar libertad. Horizonte pedagógico, 12(1), 19-27. https://horizontepedagogico.cu/index.php/hop/article/view/278
Sathvara, P. B., Anuradha, J., Tripathi, S. y Sanjeevi, R. (2024). Biodiversity and Its Importance: An Introduction. En P. B. Sathvara y R. Sanjeevi. (Eds.), Biodiversity Loss Assessment for Ecosystem Protection, (pp. 1-17). IGI Global. https://doi.org/10.4018/979-8-3693-3330-3.ch001
Schmitt, T. A., Sass, D. A., Chappelle, W. y Thompson, W. (2018). Selecting the “best” factor structure and moving measurement validation forward: An illustration. Journal of Person-ality Assessment, 100(4), 345-362. https://doi.org/10.1080/00223891.2018.1449116
Sher, A. (2023). What Is Biodiversity?. En. A. Sher (Ed.), An introduction to conservation biolo-gy, (pp. 25-57). Oxford University Press. https://doi.org/10.1093/hesc/9780197564370.003.0002
Thompson, B. (2004). Exploratory and confirmatory factor analysis: Understanding concepts and applications. American Psychological Association. https://doi.org/10.1037/10694-000
Velicer, W. F. y Fava, J. L. (1998). Effects of variable and subject sampling on factor pattern re-covery. Psychological Methods, 3(2), 231-251. https://doi.org/10.1037/1082-989X.3.2.231
Xia, Y. y Yang, Y. (2019). RMSEA, CFI, and TLI in structural equation modeling with ordered categorical data: The story they tell depends on the estimation methods. Behavior Research Methods, 51(1), 409–428. https://doi.org/10.3758/s13428-018-1055-2
Yong, A. G. y Pearce, S. (2013). A Beginner’s Guide to Factor Analysis: Focusing on Explorato-ry Factor Analysis. Tutorials in Quantitative Methods for Psychology, 9(2), 79–94. https://doi.org/10.20982/TQMP.09.2.P079
Yuan, K. H. (2005). Fit Indices Versus Test Statistics. Multivariate Behavioral Research, 40(1), 115-148. https://doi.org/10.1207/s15327906mbr4001_5

